|
 |
| |
Phthalylsulphathiazole |
| |
|
Alias:
|
(o-carboxybenzoyl)-p-aminophenylsulfonamidothiazole
|
|
CAS NO.:
|
85-73-4
|
|
Molecular Formula:
|
C17H13N3O5S2=403.4
|
|
Appearance:
|
white or similar to white crystalline powder, odorless, soluble in dimethylformamide, slightly soluble in ethanol, water and chloroform. M.P. is 198-204℃
|
|
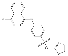
Structural Formula:
|
|
|
Indications:
|
used for stomach/intestinal infection, bacillary dysentery, bacteroidal abdominal catarrh etc.
|
|
Quality Standard:
|
BP2002
|
|
Acidity:
|
≤1ml
|
|
Chlorides:
|
≤0.014%
|
|
Drying Loss:
|
≤2%
|
|
Residue on Ignition:
|
≤0.1%
|
|
Heavy Metal:
|
≤20PPM
|
|
Aromatic amine and related substances:
|
≤2%
|
|
Assay:
|
98.5-101.5%
|
|
|
|
|
|